沈彦军研究组在海河山区水资源量质特征及影响机制研究中取得进展
发布时间:2024.11.25
中国科学院农业资源研究中心沈彦军研究组围绕山区水资源量质演变规律及影响机制问题开展了研究,在植被变化对山区径流的影响机制、景观格局与山区水质的定量关系等方面取得了新的进展。
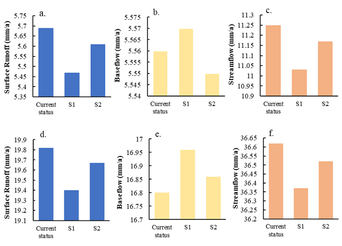
在林水关系研究方面,选取滹沱河流域山区为研究区,构建SWAT模型,模拟山区地表径流变化,采用情景模拟的方法,揭示植被恢复对不同径流成分的影响。研究结果显示,退耕还林与退耕还草这两种植被恢复情景都会减小坡面流与总径流的量,然而退耕还林会增加基流的量。在山区水质变化影响机制方面,选取滹沱河流域山区为研究区,采用随机森林模型与非参数突变点分析的方法,系统分析了流域景观格局对地表水质变化的空间尺度效应与阈值效应。研究结果表明:与河岸带尺度相比,子流域尺度上的景观指标对水质变化的解释更好。此外,研究对景观指标影响水质变化的阈值进行了估计,例如,在坡度与硝酸盐氮浓度的关系中,坡度的突变阈值为10.79°。研究结果可为海河山区水资源量质协同管理提供科学支撑。

图1不同植被恢复情景条件下不同径流成分的变化:a.小觉流域坡面流, b. 小觉流域基流, c. 小觉流域总径流, d. 冶河流域坡面流, e. 冶河流域基流, f. 冶河流域总径流

图2滹沱河山区地表水质时空分布特征:a.冬季硝酸盐浓度, b. 夏季硝酸盐浓度, c. 春季硝酸盐浓度, d. 冬季总氮浓度, e. 夏季总氮浓度, f. 春季总氮浓度, g. 冬季总磷浓度, h. 夏季总磷浓度, i. 春季总磷浓度
上述研究为海河山区水资源量质协同管理提供了支撑,相关成果分别发表在Journal of Hydrology:Regional Study与Journal of Environmental Management期刊上。以上研究得到了国家重点研发计划(2021YFD1700500),国家自然科学基金(42471041,42401035),河北省创新群体研究项目(D2021503001),河北省重点研发计划项目(22377001D,225A4201D)等课题的资助。
全文链接:
[1] Chang Yuru, Liu Xia*, Cao Bo, Wang Yixuan, and Shen Yan-Jun*. 2024. Effects of vegetation restoration on runoff and its components in the mountainous Haihe River Basin. Journal of Hydrology: Regional Studies, 53, 101803. https://doi.org/https://doi.org/10.1016/j.ejrh.2024.101803
[2] Liu Xia, Shen Yan-Jun*, Chang Yuru, and Shen Yanjun. 2024. The spatial scale and threshold effects of the relationship between landscape metrics and water quality in the Hutuo River Basin. Journal of Environmental Management, 372, 123361. https://doi.org/https://doi.org/10.1016/j.jenvman.2024.123361